India Post GDS Recruitment 2026 : India Post will release the notification of Gramin Dak Sevak Recruitment 2026 for 28,740 Posts (expected). India Post releases vacancy of India Post GDS every year. In this year, it will be the most popular recruitment on 10th class merit besed. All information such as Important Dates, Apply LInk, Age Limit, Qualification, Selection Process, Merit List Date and many more topics are available in this article. so you can read read the full article to know all about this Recruitment.
India Post
India Post GDS Vacancy 2026
India Post Gramin Dak Sevan 10th Pass Vacancy
No Exam, Merit Based Job
Table of Contents
India Post GDS Recruitment 2026 : Overview
| Board Name | India Post |
| Type of Article | Letest Jobs |
| Article Name | India Post GDS Vacancy 2026 |
| Name of the Post | Gramin Dak Sevak Branch Postmaster(BPM) Assistant Branch Postmaster(ABPM) |
| No of Vacancies | 28,740 Vacancies (Expected) |
| Mode of Application | Online |
| Online Application Starts From | 31 January 2026 |
| Online Application End Date | 14 February 2026 |
| Merit List Date | 28 February 2026 |
| Official Website | https://www.nabard.org/ |

We all know the familiar face of the local postman—a symbol of trust in every Indian village and town. This year, that face could be yours. The India Post GDS 2026 vacancy isn’t just another job notification; it’s a massive opportunity to join one of the country’s oldest and most respected institutions. If you have your 10th-standard marksheet and a desire to stay connected to your roots, here is everything you need to know about the upcoming January application window.
India Post GDS Recruitment 2026 : Important Dates

| Event Name | Date |
|---|---|
| Official Notification Out | 31 January 2026 |
| Online Application Starts From | 31 January 2026 |
| Last Date of Online Application | 14 February 2026 |
| Last Date of Application Fee | 16 February 2026 |
| Correction Date | 18 February – 19 February 2026 |
| Merit List Released | 28 February 2026 |
India Post GDS Recruitment 2026 : Application Fee
| Category | Application Fee |
|---|---|
| Gen/ OBC/ EWS | ₹100 |
| SC/ST/PwBD/Female | ₹0 |
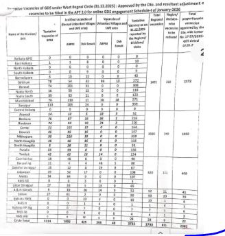
India Post GDS Recruitment 2026 : Vacancy Details
Total Post – 28,740

| State / Circle | Vacant Post(Expected) |
|---|---|
| Maharashtra | 3,553 |
| Uttar Pradesh | 3,004 |
| Tamil Nadu | 2,292 |
| Madhya Pradesh | 1,314/2,120 |
| Kerala | 1,691 |
| Karnataka | 1,023/1,135 |
| Andhra Pradesh | 1,215 |
| Gujarat | 1,203 |
| Odisha | 1,191 |
| North East | 1,014 |
| Rajasthan | 634 |
| Telangana | 519 |
| Total Vacant Posts | 28,740 |
India Post GDS Recruitment 2026 : Educational Qualification
| Post Name | Qualification |
|---|---|
| Gramin Dak Sevak/BPM/ABPM | 10th Pass or equivalent from any recognized board in India. Candidates should know the local language of the region, where they apply. |
India Post GDS Recruitment 2026 : Age Limit
India Post GDS Recruitment 2026 will be the 10th merit list Based Vacancy. The age criteria for this recruitment is geven below-
| Minimum Age | 18 Years |
| Maximum Age | 40 Years |
| Relaxations | Relaxations are provided for reserved categories as per ruls of this Recruitment. |
India Post GDS Recruitment 2026 : Salary
The basic pay depends on the post and whether the daily working shift is 4 hours (Level 1) or 5 hours (Level-2).
| Post Category | Level 1 (4 Hours/Day) | Level 2 (5 Hours/Day) |
|---|---|---|
| Branch Postmaster (BPM) | ₹12,000 | ₹14,500 |
| ABPM / Dak Sevak | ₹10,000 | ₹12,000 |
India Post GDS Recruitment 2026 : Selection Process
The selection process for the India Post Gramin Dak Sevak (GDS) 2026 recruitment is 10th class merit-based, No requirement of Written Examination or Interview
- A system-generated merit list is prepared by india post, based on the marks obtained in the 10th Class or equivalent.
- Document Verification (DV)
- Medical Examination as per India Post norms
- Final Engagement : Successful candidates receive an appointment letter
India Post GDS Recruitment 2026 : How to Apply
To apply for the India Post GDS Recruitment 2026, you must use the official website of India Post GDS Recruitment portal. The application window is active from 15th January to 4th February 2026.

- Visit the India Post GDS Online Portal and click on New Registration. Enter your details carefully to generate a unique Registration Number.
- After Registration, Pay the application fee of ₹100 online(Gen/OBC/EWS Only).
- Log in with your registration. Choose your preferred postal circle and division.

- Upload scanned copies of the required documents
- Review all details carefully, as corrections may not be possible after final submission. Submit the form and download the confirmation page for future reference
- Print & keet it for future uses.
India Post GDS Recruitment 2026 : Required Documents to Apply
- Recent passport size Photo
- Signature with black ink
- One Identity Proof ( Adhaar Card/Pan Card etc.)
- Educational Details
- Category Certificates
Important Links
| Apply Online | 31 January 2026 |
| Applicant Login | 31 January 2026 |
| Download Notification | 31 January 2026 |
| Official Website | Click Here To Open Official Website |
| Homepage | Click Here |
| Our YouTube Channel | Click Here |
| Join WhatsApp Channel | Click Here |